بولولان CAS#9057-02-7
رقم CAS: 9057-02-7
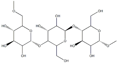
الصيغة الكيميائية:C20H36O16
المرادفات:
بولولان ستاندرد 200 ميكروغرام
بولولان ستاندرد 6 ميكروغرام
بولولان قياسي 400 ميكروغرام
الحد الأدنى لكمية الطلب:حمولة حاوية كاملة (FCL)
مظهر:مسحوق أبيض
بولولان CAS#9057-02-7
البولولان هو عديد سكاريد خطي متجانس من الجلوكوز، قابل للذوبان في الماء، يُنتَج خارج الخلية بواسطة سلالات معينة من فطر Aureobasidium pullulans. يتميز هذا السكاريد بخصائص لاصقة، ويمكن استخدامه في صناعة قوالب ضغط قوية، وألياف، وأغشية غير منفذة للأكسجين. في صناعة الأغذية، تُستخدم أغشية البولولان بكثرة كطلاء أو مادة تغليف للأطعمة المجففة، وكمادة رابطة للتبغ، والأسمدة النباتية، وطلاء البذور، وكحشو منخفض اللزوجة في الصلصات والمشروبات، بالإضافة إلى استخدامه كمثبت ومادة رابطة في معاجين الطعام. كما يُستخدم هذا السكاريد غالبًا لوقف نمو الفطريات في الطعام. أما في التطبيقات الصيدلانية، فيُستخدم البولولان كمادة لاصقة لأطقم الأسنان، ومكونًا في تركيبات صيدلانية مغلفة بالسكر لمنع ظهور اللون البني. وأخيرًا، يُستخدم البولولان في المستحضرات، والشامبو، ومستحضرات التجميل.
الخواص الكيميائية للبولولان |
نقطة الانصهار |
>248 درجة مئوية (انحلال) |
درجة حرارة التخزين |
2-8 درجة مئوية |
الذوبانية |
الماء: 50 ملغم/مل، معكر قليلاً، عديم اللون |
استمارة |
مسحوق |
لون |
أبيض إلى أبيض مائل للصفرة |
رائحة |
بنسبة 100.00%. عديم الرائحة |
الدوران البصري |
+190 |
قابلية الذوبان في الماء |
الماء: 50 ملغم/مل، عديم اللون إلى أصفر باهت جداً |
التطبيق الرئيسي |
منتجات التنظيف |
وظائف مكونات مستحضرات التجميل |
ملزم |
نظام تسجيل المواد التابع لوكالة حماية البيئة |
بولولان (9057-02-7) |
معلومات السلامة |
بيانات السلامة |
24/25 |
دبليو جي كي ألمانيا |
3 |
RTECS |
UO5470000 |
ف |
3 |
قانون مراقبة المواد السامة |
مدرجة في قائمة TSCA |
رمز النظام المنسق |
29400090 |
فئة التخزين |
10- السوائل القابلة للاشتعال |
تطبيق منتج بولولان CAS#9057-02-7
البولولان مادة متوافقة حيوياً مع الدم، وغير مُحفزة للمناعة، وغير مُسرطنة. في صناعة الأغذية، يُستخدم البولولان بشكل أساسي كمادة مالئة، وهو بوليمر صالح للأكل وعديم الطعم. علاوة على ذلك، يُستخدم في صناعة الأدوية والإلكترونيات في هندسة الأنسجة، وأنظمة توصيل الأدوية والجينات، وكعامل طلاء، وكعامل مُكوِّن للأغشية والألياف، وذلك بفضل خصائصه الفيزيائية والكيميائية الممتازة. يُشكل البولولان العمود الفقري لنظام بوليمري قادر على تكوين الهيدروجيلات والنانوجيلات. تُظهر هذه الأنظمة تطبيقات محتملة في تحضير المواد الذكية الصديقة للبيئة، والمحاكاة الحيوية، والمستشعرات الحيوية، والعضلات الاصطناعية، وأنظمة توصيل الأدوية، والفصل الكيميائي. يمكن للأنظمة النانوية القائمة على البولولان أن تعمل كناقلات لأدوية مختلفة. وقد استُخدم كناقل لأنظمة توصيل الأدوية عبر الغشاء المخاطي عن طريق الفم والأنف والرئة، لأنه لا يتأثر بالإنزيمات الهاضمة في الأمعاء البشرية [3-4].
معرض المصانع والمعدات
وقت التسليم سريع
تجهيز المخزون: ٢-٣ أيام عمل، الإنتاج الجديد: ٧-١٠ أيام عمل


